Mucic acid

Mucic acid
Structural formula of mucic acid
Ball-and-stick model of the mucic acid molecule
Names
IUPAC name
meso-Galactaric acid[1]
Systematic IUPAC name
(2S,3R,4S,5R)-2,3,4,5-Tetrahydroxyhexanedioic acid
Other names
Galactaric acid; Galactosaccharic acid
Identifiers
3D model (JSmol)
ChEMBL
ChemSpider
ECHA InfoCard 100.007.641
UNII
  • InChI=1S/C6H10O8/c7-1(3(9)5(11)12)2(8)4(10)6(13)14/h1-4,7-10H,(H,11,12)(H,13,14)/t1-,2+,3+,4- ☒N
    Key: DSLZVSRJTYRBFB-DUHBMQHGSA-N ☒N
  • InChI=1/C6H10O8/c7-1(3(9)5(11)12)2(8)4(10)6(13)14/h1-4,7-10H,(H,11,12)(H,13,14)/t1-,2+,3+,4-
    Key: DSLZVSRJTYRBFB-DUHBMQHGBT
  • [C@@H]([C@@H]([C@H](C(=O)O)O)O)([C@@H](C(=O)O)O)O
Properties
C6H10O8
Molar mass 210.138 g·mol−1
Melting point 230 °C (446 °F; 503 K)
Except where otherwise noted, data are given for materials in their standard state (at 25 °C [77 °F], 100 kPa).
☒N verify (what is checkY☒N ?)
Infobox references

Mucic acid, C6H10O8 or HOOC-(CHOH)4-COOH (galactaric acid or meso-galactaric acid) is an aldaric acid obtained by nitric acid oxidation of galactose or galactose-containing compounds such as lactose, dulcite, quercite, and most varieties of gum.[2]

Properties

Mucic acid forms a crystalline powder, which melts at 210–230 °C.[3] It is insoluble in alcohol, and nearly insoluble in cold water.[2] Due to the symmetry in the molecule, it is optically inactive even though it has chiral carbon atoms (i.e., it is a meso compound).

Reactions

When heated with pyridine to 140 °C, it is converted into allomucic acid.[2][4] When digested with fuming hydrochloric acid for some time it is converted into αα′ furfural dicarboxylic acid while on heating with barium sulfide it is transformed into α-thiophene carboxylic acid.[2] The ammonium salt yields on dry distillation carbon dioxide, ammonia, pyrrol and other substances.[2] The acid when fused with caustic alkalis yields oxalic acid.[2]

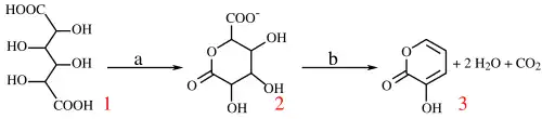
With potassium bisulfate mucic acid forms 3-hydroxy-2-pyrone by dehydration and decarboxylation.

Reaction of mucic acid to 3-hydroxy-2-pyrone with a) potassium bisulfate 160 °C / 4 hrs. b) hydrochloric acid to pH = 7

Use

Mucic acid can be used to replace tartaric acid in self-raising flour or fizzies.

It has been used as a precursor of adipic acid in the way to nylon by a rhenium-catalyzed deoxydehydration reaction.[5]

It has been used as a precursor of Taxol in Nicolaou Taxol total synthesis (1994).

See also

References

  1. ^ https://iupac.qmul.ac.uk/2carb/23.html
  2. ^ a b c d e f Chisholm, Hugh, ed. (1911). "Mucic Acid" . Encyclopædia Britannica. Vol. 18 (11th ed.). Cambridge University Press. p. 954.
  3. ^ "Mucic acid". ChemSpider. Retrieved 30 March 2018.
  4. ^ Butler, C. L.; Cretcher, L. H. (1929). "The Preparation of Allomucic Acid and Certain of Its Derivatives". Journal of the American Chemical Society. 51 (7): 2167. doi:10.1021/ja01382a029.
  5. ^ Li, X.; Wu, D.; Lu, T.; Yi, G.; Su, H.; Zhang, Y. (2014). "Highly Efficient Chemical Process to Convert Mucic Acid into Adipic Acid and DFT Studies of the Mechanism of the Rhenium-Catalyzed Deoxydehydration". Angewandte Chemie International Edition. 53 (16): 4200–4204. doi:10.1002/anie.201310991. PMID 24623498.