N-Heterocyclic olefins

An N-heterocyclic olefin (NHO) is a neutral heterocyclic compound with a highly polarized, electron-rich C=C olefin attached to a heterocycle made up of two nitrogen atoms. A derivative of N-heterocyclic carbenes (NHCs), NHO was first synthesized in 1961 by Horst Böhme and Fritz Soldan, but the term NHO was not used until 2011 by Eric Rivard and coworkers.[1] Since its discovery, NHOs have been applied in organocatalysis, metal ligation, and polymerization.
Structure and properties

NHOs have a ylide resonance structure that places a positive charge on the heterocycle and a negative charge on the exocyclic carbon of the olefin, called Cexo. This creates a highly polarized C=C bond that is resonance stabilized, and an especially nucleophilic Cexo.[2] NHOs are strong nucleophiles and Lewis bases, and can exist with saturated or unsaturated heterocycles.[3][4] Pengju Ji, Jin-Pei Cheng and coworkers found that the pKas of some NHOs' conjugate acids were around 14 to 25 in DMSO. Surprisingly, unsaturated NHOs – which contain double bonds within the heterocycle – were more nucleophilic than their NHC counterparts due to their aromatization, but saturated NHOs were less nucleophilic than their NHC counterparts.[4] NHOs are also considered deoxy Breslow intermediates, which are often used in carbene catalysis.[3][5]
Due to the reactivity of the Cexo, NHOs are kept under inert atmospheres.[5] Adding an electron withdrawing group at Cexo can stabilize the compound under non-inert atmospheres, but this costs its reactivity and thereby its usage in catalysis.[6] They are also prone to protonation when exposed to water.[7]
Synthesis
The first synthesis of an NHO was reported by Horst Böhme and Fritz Soldan in 1961, where they synthesized its precursor salt, and reacted that with elemental sodium.[8]
![Horst Böhme and Fritz Soldan synthesized the first NHO in 1961 using the precursor salt and elemental sodium.[8]](./_assets_/Horst_B%C3%B6hme_and_Fritz_Soldan's_Synthesis_of_the_First_NHO.png)
Based on this, the most common synthetic route now is a deprotonation of the corresponding precursor salts with a strong base, such as potassium hydride.[5][7]
![NHOs are now commonly synthesized by reacting the NHC precursor salts with a strong base, like potassium hydride.[5][7]](./_assets_/NHO-synthesis-kh.png)
A common method to generate saturated precursor salts is to use diamine and orthoester starting materials with ammonium tetrafluoroborate.[9]
![Diamines and orthoesters react in the presence of ammonium tetrafluoroborate to yield saturated NHC precursor salts.[9]](./_assets_/Saturated_NHC_precursor_salt_synthesis.png)
Unsaturated precursor salts can be synthesized by converting commercially available imidazoles into salts or running the Radziszewski reaction.[7]

For sterically bulky NHOs, it is also possible to generate them by using the free NHC analogues.[10]
![Powers et al. were able to synthesize NHOs with bulky substituents using the free NHC analogues.[10]](./_assets_/Synthesis_of_NHOs_with_free_NHC_analogues.png)
Reactivity
Organocatalysis
The reactivity of NHOs make them promising tools for organocatalysis. They are able to catalyze small molecule activation and popular organocatalytic reactions.
CO2 sequestration
NHOs are able to activate small molecules, such as CO2, CS2, SO2, and COS, by forming adducts with them.[7]

NHO-CO2 adducts are of particular interest due to their reactivity; NHOs are able to form zwitterionic NHO-CO2 adducts that are 10-200 times more reactive than NHC-CO2 adducts.[11] These adducts are then able to do many reactions, such as carboxylative cyclizations of propargyl alcohols and cycloadditions with aziridines to yield oxazolidinones.[5][11][12] NHO-CO2s' reactivity and usage make them a more powerful organocatalyst and CO2 capturer than their NHC counterparts.

Organocatalytic reactions
NHOs and their precursor salts and their precursor salts are able to engage in various organocatalytic reactions. The precursor salts are able to catalyze reactions like hydrosilylations[13] and tranesterifications.[14]

NHOs themselves can also catalyze organic reactions such as hydroborylations,[15] participate in asymmetric catalysis like an enantioselective amination,[16] and activate bonds including aromatic C-F bonds.[17]

Metal ligation
Main group metals

NHOs can stabilize low oxidation state main group hydrides, like GeH2 and SnH2 that are coordinated to W(CO)5.[1] When deprotonated, these NHOs become anionic, four-electron bridging ligands that can bind to two Ge centers, hence displaying carbanion-like behavior.[18]

Transition metals
For transition metals, NHOs bind to the metal center at the Cexo position. Once bound, the Cexo becomes sp3 -hybridized.[7] The NHO gains a positive charge that is resonance-stabilized, and the metal center gains electron density and is negatively charged. Rivard and coworkers found that based on the IR stretching frequencies of NHO·RhCl(CO)2 compounds, NHOs act as almost exclusively strong σ-donors. Although the electron density on the metal center is much larger when bound to an NHO than an NHC, the metal's bond with an NHO is typically weaker than with an NHC because NHOs cannot engage in back-bonding.[10][19] Some NHO transition metal complexes include NHOs with Rh[10] and Au.[19]
Polymerization
NHOs are also polymerization catalysts. They can do organopolymerization and Lewis-pair polymerization. In the latter, the NHOs act as Lewis bases in the presence of metal Lewis acids, creating a Lewis-pairs that improve polymerization.[7]
Polymerization of lactones
NHOs have been able to polymerize lactones in the absence of metals.[9] Qinggang Wang, Kai Guo, and coworkers used NHOs and thioureas to do the ring-opening polymerization of δ-valerolactone.[20] Stefan Naumann, Andrew Dove, and coworker found that while NHOs have the ability to polymerize, there are some limitations in control. When using an unsaturated NHO without any substituents on Cexo and an initiator BnOH, the mechanism proceeded via a zwiterrionic intermediate that terminated the polymerization. When a dimethyl group was added to Cexo, the reaction no longer proceeds this way, and was able to polymerize lactide, δ-valerolactone, and ω-pentadecalactone. While this broadened the scope and speed of the polymerization, the reaction was difficult to control due to the formation of an enolate intermediate.[9]
.png)
When metal Lewis acids, like MgCl2, are introduced in the presence of dimethyl-substituted NHOs and lactones, there is improved control of the polymerization. The Lewis acid coordinates to the lactone, while the NHO coordinates to the proton of the initiator, typically BnOH, facilitating the formation of polyesters.[21]
![Lactone polymerization can be improved with metal Lewis acids.[21]](./_assets_/Metal_Lewis_Acid_Facilitated_Lactone_Polymerization.png)
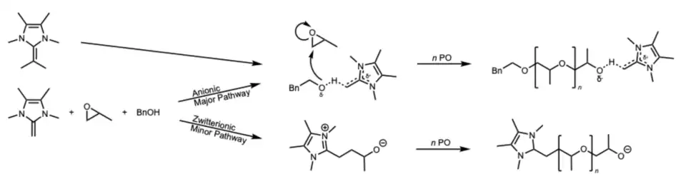
Polymerization of propylene oxides
NHOs are also able to polymerize propylene oxides (PO) to form poly(propylene oxide). Naumann, Dove, and coworker found that in the presence of BnOH as an initiator, unsubstituted Cexo and unsaturated NHOs can react with PO under two pathways: a major anionic pathway and a minor zwitterionic pathway.[22] Substituting Cexo with a dimethyl group created steric hindrance that made the polymerization go through the anionic pathway exclusively.[22]
![NHOs can polymerize PO to form polyethers. For an unsubstituted NHO, there is a major anionic mechanism and a minor zwitterionic mechanism. Substituted NHOs only polymerize via the anionic pathway.[22]](./_assets_/Polymerization_of_PO_with_NHOs.png)
When Mg(HMDS)2 is added, the polymerization occurs exclusively through the zwitterionic pathway with high molar mass.[23]
Polymerization of acrylates
NHOs can polymerize acrylates best in the presence of a Lewis acid. Xiao-Bing Lu and coworkers were able to polymerize acrylates, such as MMA, BMA, DMAA, and DPAA, by creating a frustrated Lewis pair (FLP) between NHOs and Al(C6F5)3.[24] While a lactone product can form from a backbiting side reaction and terminate the polymerization, this a much slower reaction than the polymerization.[24]

Yuetao Zhang, Eugene Chen et al. developed a living polymerization of methacrylates using the Lewis acid MeAl(BHT)2 instead of Al(C6F5)3.[25] MeAl(BHT)2 creates a non-interacting FLP with NHO and thereby eliminates the backbiting side reaction.[25] Naumann and Laura Falivene found that adding LiCl improves the control of the polymerization of acrylamides like DMAA.[26]
References
- ^ a b c Al-Rafia, S. M. Ibrahim; Malcolm, Adam C.; Liew, Sean K.; Ferguson, Michael J.; McDonald, Robert; Rivard, Eric (2011-06-28). "Intercepting low oxidation state main group hydrides with a nucleophilic N-heterocyclic olefin". Chemical Communications. 47 (24): 6987–6989. doi:10.1039/C1CC11737H. ISSN 1364-548X.
- ^ a b Schuldt, Robin; Kästner, Johannes; Naumann, Stefan (2019-02-15). "Proton Affinities of N-Heterocyclic Olefins and Their Implications for Organocatalyst Design". The Journal of Organic Chemistry. 84 (4): 2209–2218. doi:10.1021/acs.joc.8b03202. ISSN 0022-3263.
- ^ a b Maji, Biplab; Horn, Markus; Mayr, Herbert (2012-06-18). "Nucleophilic Reactivities of Deoxy Breslow Intermediates: How Does Aromaticity Affect the Catalytic Activities of N‐Heterocyclic Carbenes?". Angewandte Chemie International Edition. 51 (25): 6231–6235. doi:10.1002/anie.201202327. ISSN 1433-7851.
- ^ a b Li, Zhen; Ji, Pengju; Cheng, Jin-Pei (2021-02-05). "Brönsted Basicities and Nucleophilicities of N-Heterocyclic Olefins in Solution: N-Heterocyclic Carbene versus N-Heterocyclic Olefin. Which Is More Basic, and Which Is More Nucleophilic?". The Journal of Organic Chemistry. 86 (3): 2974–2985. doi:10.1021/acs.joc.0c02838. ISSN 0022-3263.
- ^ a b c d e G, Mahantesh; Sharma, Deepika; Dandela, Rambabu; Dhayalan, Vasudevan (2023-11-06). "Synthetic Strategies of N‐Heterocyclic Olefin (NHOs) and Their Recent Application of Organocatalytic Reactions and Beyond". Chemistry – A European Journal. doi:10.1002/chem.202302106. ISSN 0947-6539.
- ^ Ericsson, E.; Marnung, T.; Sandstörm, J.; Wennerbeck, I. (1975-02-01). "Studies of polarized ethylenes.: PART VII.11Part VI. Acta Chem. Scand., 27 (1973) 1183. experimental and theoretical dipole moments and electronic structures by CNDO/2 calculations". Journal of Molecular Structure. 24 (2): 373–387. doi:10.1016/0022-2860(75)87013-X. ISSN 0022-2860.
- ^ a b c d e f g Naumann, Stefan (2019). "Synthesis, properties & applications of N-heterocyclic olefins in catalysis". Chemical Communications. 55 (78): 11658–11670. doi:10.1039/C9CC06316A. ISSN 1359-7345.
- ^ a b Böhme, Horst; Soldan, Fritz (1961-05-16). "Über Derivate des Triamino‐methans". Chemische Berichte (in German). 94 (11): 3109–3119. doi:10.1002/cber.19610941140. ISSN 0009-2940.
- ^ a b c d e Naumann, Stefan; Thomas, Anthony W.; Dove, Andrew P. (2016-01-06). "Highly Polarized Alkenes as Organocatalysts for the Polymerization of Lactones and Trimethylene Carbonate". ACS Macro Letters. 5 (1): 134–138. doi:10.1021/acsmacrolett.5b00873. ISSN 2161-1653.
- ^ a b c d Powers, Kate; Hering-Junghans, Christian; McDonald, Robert; Ferguson, Michael J.; Rivard, Eric (2015-07-29). "Improved synthesis of N-heterocyclic olefins and evaluation of their donor strengths". Polyhedron. 108 (C): 8–14. doi:10.1016/j.poly.2015.07.070. ISSN 0277-5387.
- ^ a b c Wang, Yan-Bo; Wang, Yi-Ming; Zhang, Wen-Zhen; Lu, Xiao-Bing (2013-08-14). "Fast CO 2 Sequestration, Activation, and Catalytic Transformation Using N -Heterocyclic Olefins". Journal of the American Chemical Society. 135 (32): 11996–12003. doi:10.1021/ja405114e. ISSN 0002-7863.
- ^ Saptal, Vitthal B.; Bhanage, Bhalchandra M. (2016-08-09). "N‐Heterocyclic Olefins as Robust Organocatalyst for the Chemical Conversion of Carbon Dioxide to Value‐Added Chemicals". ChemSusChem. 9 (15): 1980–1985. doi:10.1002/cssc.201600467. ISSN 1864-5631.
- ^ a b Kaya, Uǧur; Tran, Uyen P. N.; Enders, Dieter; Ho, Junming; Nguyen, Thanh V. (2017-03-17). "N-Heterocyclic Olefin Catalyzed Silylation and Hydrosilylation Reactions of Hydroxyl and Carbonyl Compounds". Organic Letters. 19 (6): 1398–1401. doi:10.1021/acs.orglett.7b00306. ISSN 1523-7060.
- ^ a b Blümel, Marcus; Noy, Janina-Miriam; Enders, Dieter; Stenzel, Martina H.; Nguyen, Thanh V. (2016-04-26). "Development and Applications of Transesterification Reactions Catalyzed by N-Heterocyclic Olefins". Organic Letters. 18 (9): 2208–2211. doi:10.1021/acs.orglett.6b00835. hdl:1959.4/unsworks_42602. ISSN 1523-7060.
- ^ a b Hering-Junghans, Christian; Watson, Ian C.; Ferguson, Michael J.; McDonald, Robert; Rivard, Eric (2017-06-06). "Organocatalytic hydroborylation promoted by N-heterocyclic olefins". Dalton Transactions. 46 (22): 7150–7153. doi:10.1039/C7DT01303E. ISSN 1477-9234.
- ^ a b Wang, Sijing; Zhang, Cefei; Li, Da; Zhou, Yuqiao; Su, Zhishan; Feng, Xiaoming; Dong, Shunxi (2022-12-09). "New chiral N-heterocyclic olefin bifunctional organocatalysis in α-functionalization of β-ketoesters". Science China Chemistry. 66 (1): 147–154. doi:10.1007/s11426-022-1458-4. ISSN 1674-7291.
- ^ a b Mandal, Debdeep; Chandra, Shubhadeep; Neuman, Nicolás I.; Mahata, Alok; Sarkar, Arighna; Kundu, Abhinanda; Anga, Srinivas; Rawat, Hemant; Schulzke, Carola; Mote, Kaustubh R.; Sarkar, Biprajit; Chandrasekhar, Vadapalli; Jana, Anukul (2020-05-12). "Activation of Aromatic C−F Bonds by a N‐Heterocyclic Olefin (NHO)". Chemistry – A European Journal. 26 (27): 5951–5955. doi:10.1002/chem.202000276. ISSN 0947-6539. PMC 7317942. PMID 32027063.
- ^ a b Hupf, Emanuel; Kaiser, Felix; Lummis, Paul A.; Roy, Matthew M. D.; McDonald, Robert; Ferguson, Michael J.; Kühn, Fritz E.; Rivard, Eric (2020-02-03). "Linking Low-Coordinate Ge(II) Centers via Bridging Anionic N-Heterocyclic Olefin Ligands". Inorganic Chemistry. 59 (3): 1592–1601. doi:10.1021/acs.inorgchem.9b01449. ISSN 0020-1669.
- ^ a b Fürstner, Alois; Alcarazo, Manuel; Goddard, Richard; Lehmann, Christian W. (2008-04-08). "Coordination Chemistry of Ene‐1,1‐diamines and a Prototype "Carbodicarbene"". Angewandte Chemie International Edition. 47 (17): 3210–3214. doi:10.1002/anie.200705798. ISSN 1433-7851.
- ^ Zhou, Li; Xu, Guangqiang; Mahmood, Qaiser; Lv, Chengdong; Wang, Xiaowu; Sun, Xitong; Guo, Kai; Wang, Qinggang (2019-04-02). "N-Heterocyclic olefins and thioureas as an efficient cooperative catalyst system for ring-opening polymerization of δ-valerolactone". Polymer Chemistry. 10 (14): 1832–1838. doi:10.1039/C9PY00018F. ISSN 1759-9962.
- ^ a b Naumann, Stefan; Wang, Dongren (2016-12-13). "Dual Catalysis Based on N-Heterocyclic Olefins for the Copolymerization of Lactones: High Performance and Tunable Selectivity". Macromolecules. 49 (23): 8869–8878. doi:10.1021/acs.macromol.6b02374. ISSN 0024-9297.
- ^ a b c Naumann, Stefan; Thomas, Anthony W.; Dove, Andrew P. (2015-07-01). "N‐Heterocyclic Olefins as Organocatalysts for Polymerization: Preparation of Well‐Defined Poly(propylene oxide)". Angewandte Chemie International Edition. 54 (33): 9550–9554. doi:10.1002/anie.201504175. ISSN 1433-7851. PMC 4539597.
- ^ Walther, Patrick; Krauß, Annabelle; Naumann, Stefan (2019-07-29). "Lewis Pair Polymerization of Epoxides via Zwitterionic Species as a Route to High‐Molar‐Mass Polyethers". Angewandte Chemie International Edition. 58 (31): 10737–10741. doi:10.1002/anie.201904806. ISSN 1433-7851.
- ^ a b c Jia, Yin-Bao; Wang, Yan-Bo; Ren, Wei-Min; Xu, Tieqi; Wang, Jing; Lu, Xiao-Bing (2014-03-25). "Mechanistic Aspects of Initiation and Deactivation in N -Heterocyclic Olefin Mediated Polymerization of Acrylates with Alane as Activator". Macromolecules. 47 (6): 1966–1972. doi:10.1021/ma500047d. ISSN 0024-9297.
- ^ a b Wang, Qianyi; Zhao, Wuchao; Zhang, Sutao; He, Jianghua; Zhang, Yuetao; Chen, Eugene Y.-X. (2018-04-06). "Living Polymerization of Conjugated Polar Alkenes Catalyzed by N -Heterocyclic Olefin-Based Frustrated Lewis Pairs". ACS Catalysis. 8 (4): 3571–3578. doi:10.1021/acscatal.8b00333. ISSN 2155-5435.
- ^ Naumann, Stefan; Mundsinger, Kai; Cavallo, Luigi; Falivene, Laura (2017-09-26). "N-Heterocyclic olefins as initiators for the polymerization of (meth)acrylic monomers: a combined experimental and theoretical approach". Polymer Chemistry. 8 (37): 5803–5812. doi:10.1039/C7PY01226H. hdl:10754/625426. ISSN 1759-9962.